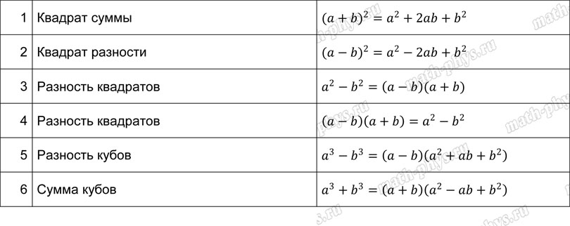
Пользоваться тренажёром предельно просто. Открой нужный раздел математики в списке разделов ниже. Ты увидишь описания формул из этого раздела.
Напиши эти формулы на листочке. Затем кликни на надпись "Кликни и проверь себя"n> и выясни, какие из формул ты еще плохо знаешь.
Подучи и повтори всё сначала.Успехов в изучении формул по математике, да и вообще математики!
Алгебра
Геометрия

